Официальное опубликование правовых актов
ОФИЦИАЛЬНОЕ ОПУБЛИКОВАНИЕ
Указ Губернатора Омской области от 28.04.2016 № 80
"О Программе развития электроэнергетики в Омской области на 2016 - 2020 годы"
Номер опубликования: 5500201604290005
Дата опубликования: 29.04.2016
Страница №72 из 99:
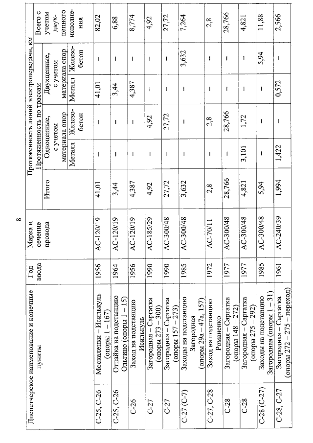
Увеличить