Официальное опубликование правовых актов
ОФИЦИАЛЬНОЕ ОПУБЛИКОВАНИЕ
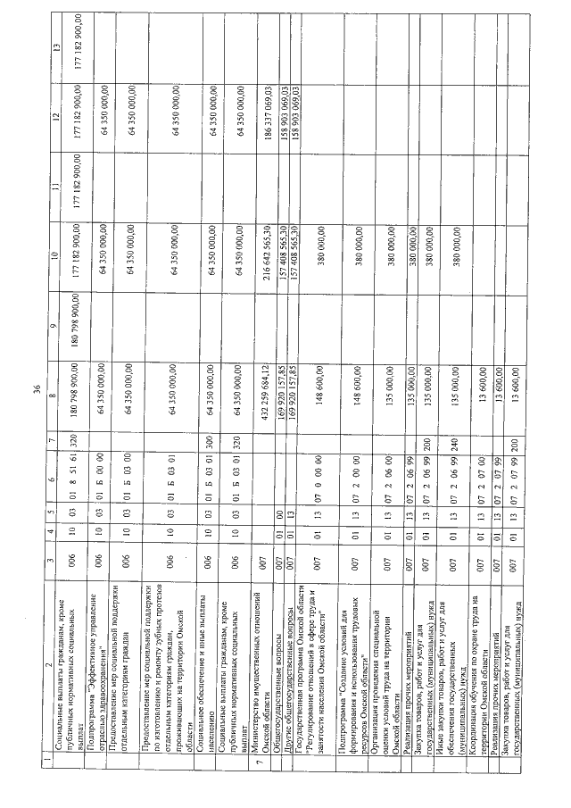
Закон Омской области от 26.03.2015 № 1733-ОЗ
"О внесении изменений в Закон Омской области "Об областном бюджете на 2015 год и на плановый период 2016 и 2017 годов"
Номер опубликования: 5500201503300002
Дата опубликования: 30.03.2015
Страница №117 из 603:
Увеличить