Официальное опубликование правовых актов
ОФИЦИАЛЬНОЕ ОПУБЛИКОВАНИЕ
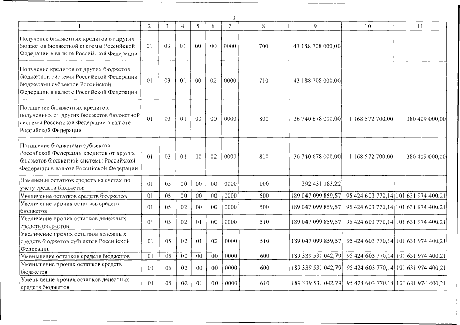
Закон Омской области от 02.03.2015 № 1726-ОЗ
"О внесении изменений в Закон Омской области "Об областном бюджете на 2014 год и на плановый период 2015 и 2016 годов"
Номер опубликования: 5500201503040001
Дата опубликования: 04.03.2015
Страница №509 из 513:
Увеличить