Официальное опубликование правовых актов
ОФИЦИАЛЬНОЕ ОПУБЛИКОВАНИЕ
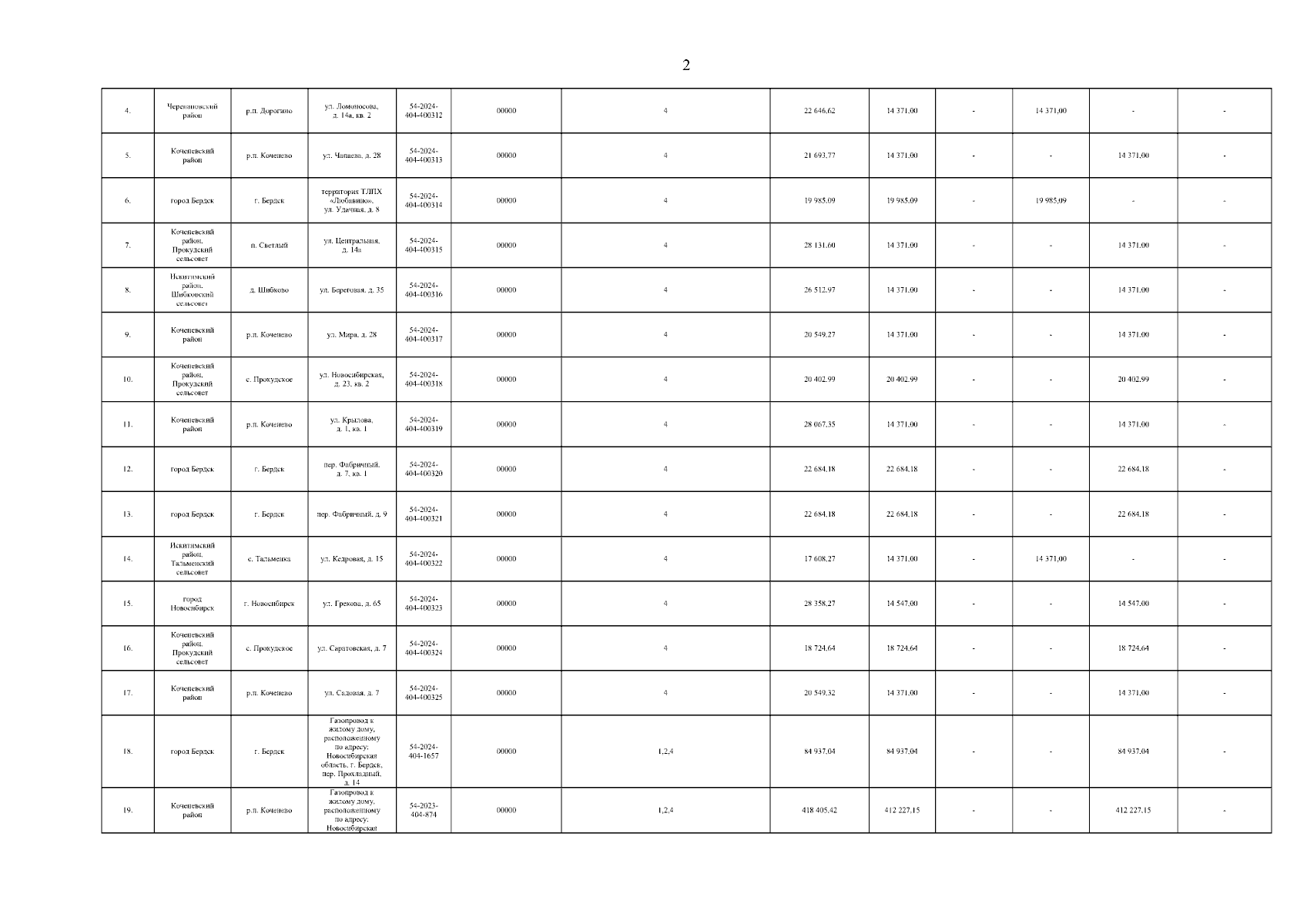
Приказ Департамента по тарифам Новосибирской области от 27.01.2026 № 3-Г/НПА
"Об утверждении размера экономически обоснованных расходов Общества с ограниченной ответственностью "Новосибирскоблгаз" на выполнение мероприятий по подключению (технологическому присоединению) газоиспользующего оборудования к газораспределительным сетям в рамках догазификации и в рамках догазификации котельных за 2 квартал 2025 года"
(Зарегистрирован 27.01.2026 № 3-Г/НПА)
Номер опубликования: 5401202602050004
Дата опубликования: 05.02.2026
Страница №4 из 10:
Увеличить