Официальное опубликование правовых актов
ОФИЦИАЛЬНОЕ ОПУБЛИКОВАНИЕ
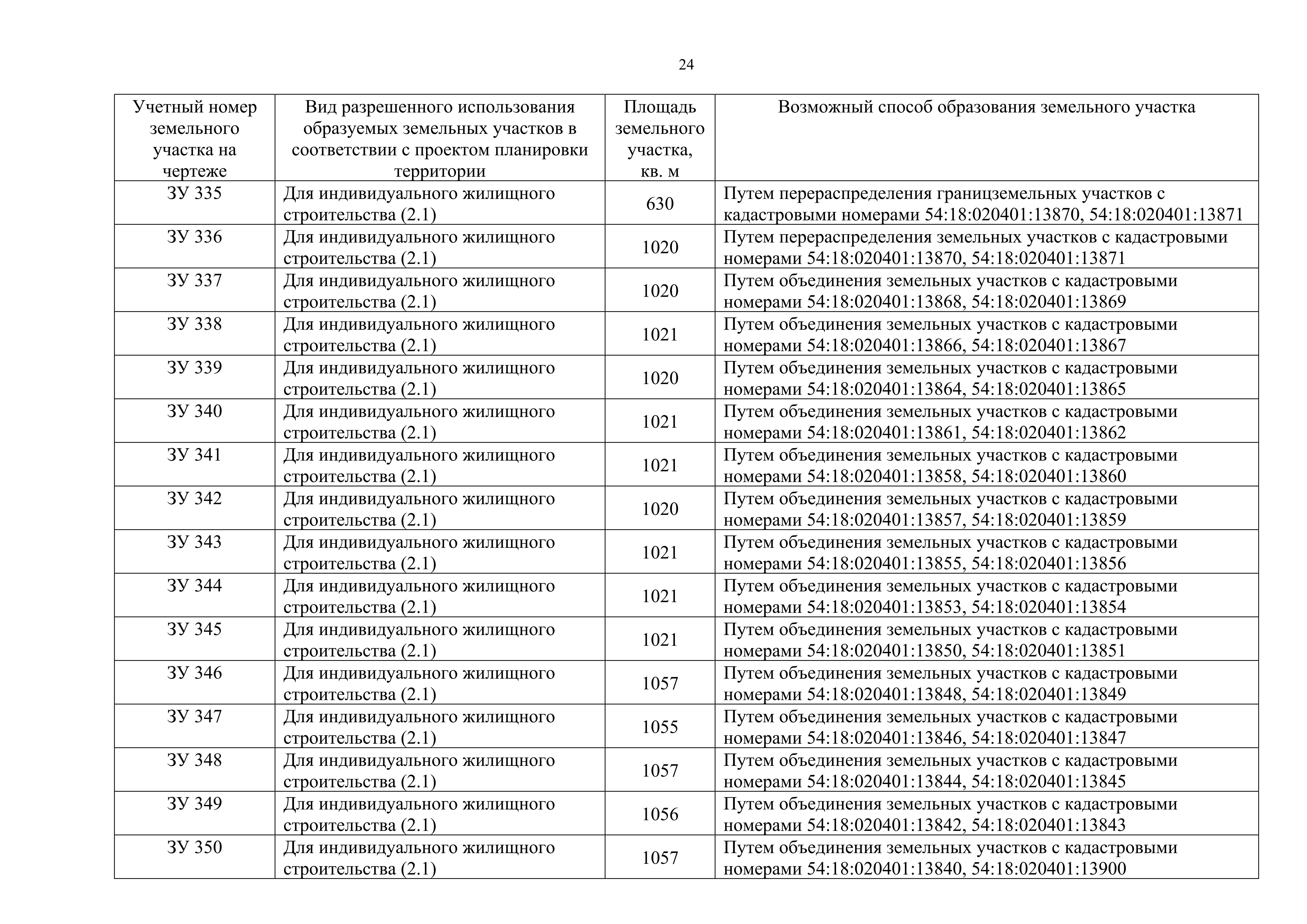
Приказ Министерства строительства Новосибирской области от 10.07.2025 № 95-НПА
"Об утверждении проекта планировки территории в границах Барлакского сельсовета Мошковского района Новосибирской области и проекта межевания территории в его составе"
(Зарегистрирован 10.07.2025 № 95-НПА)
Номер опубликования: 5401202507100001
Дата опубликования: 10.07.2025
Страница №47 из 68: