Официальное опубликование правовых актов
ОФИЦИАЛЬНОЕ ОПУБЛИКОВАНИЕ
Приказ Министерства строительства Новосибирской области от 07.04.2025 № 43-НПА
"О внесении изменения в приказ министерства строительства Новосибирской области от 30.06.2022 № 378"
(Зарегистрирован 07.04.2025 № 43-НПА)
Номер опубликования: 5401202504070004
Дата опубликования: 07.04.2025
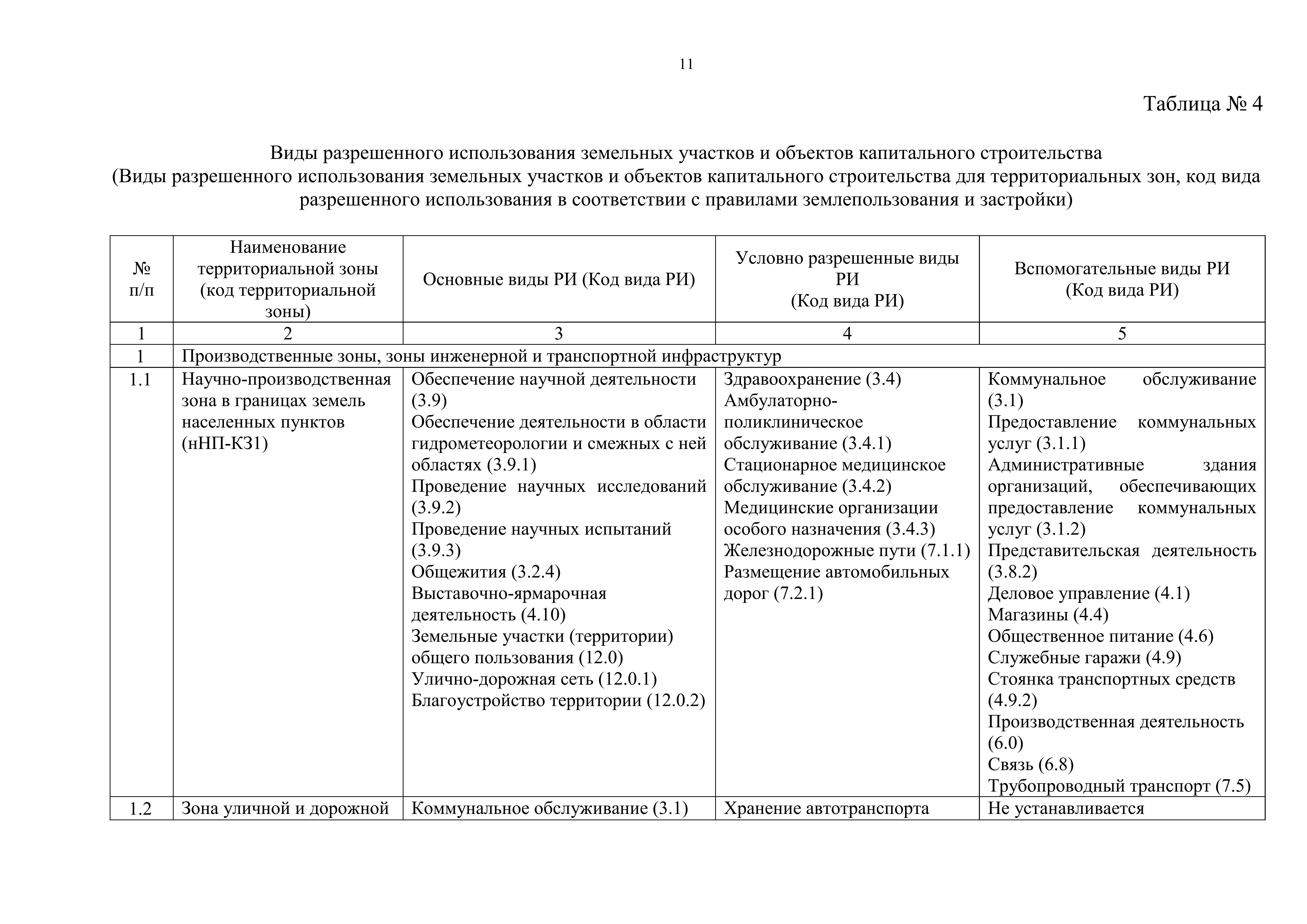
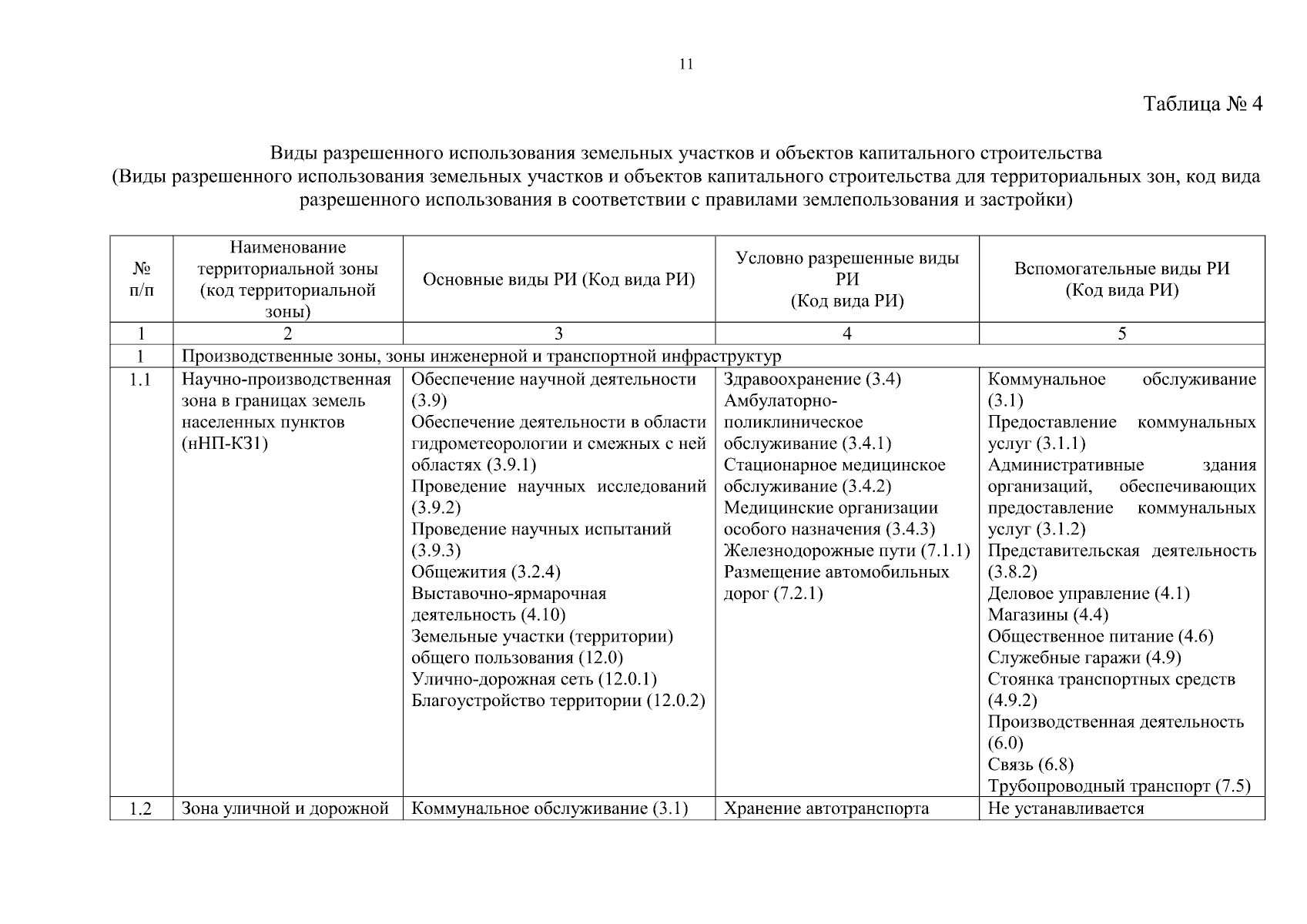
Страница №16 из 38: