Официальное опубликование правовых актов
ОФИЦИАЛЬНОЕ ОПУБЛИКОВАНИЕ
Приказ Министерства строительства Новосибирской области от 11.11.2024 № 195-НПА
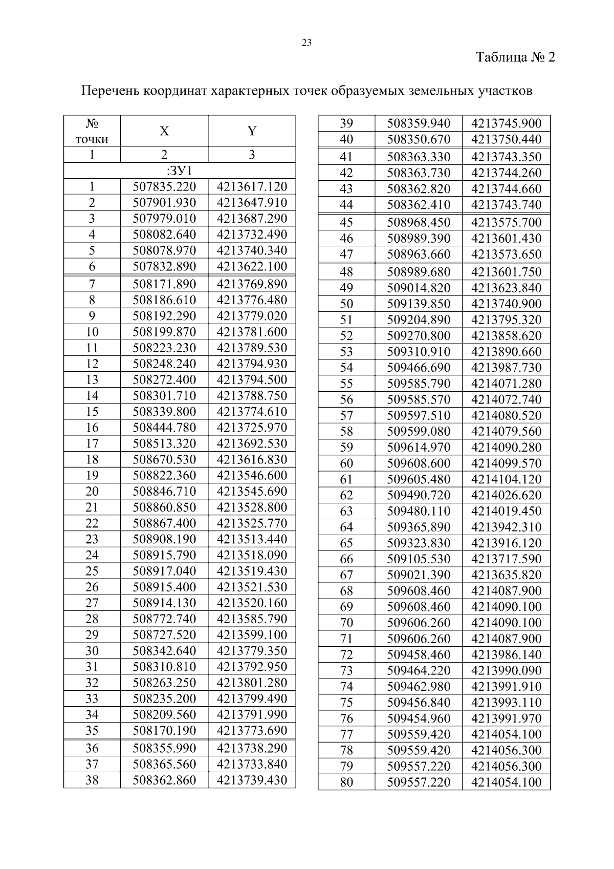
"Об утверждении проекта планировки территории и проекта межевания территории в его составе для реконструкции автомобильной дороги "23 км а/д "Н-2141" - Локти (в гр. района)" на участке км 5+907 – км 6+180, км 6+300 – км 8+007,2 в границах Мошковского района Новосибирской области"
(Зарегистрирован 11.11.2024 № 195-НПА)
Номер опубликования: 5401202411130002
Дата опубликования: 13.11.2024
Страница №25 из 28:
Увеличить