Официальное опубликование правовых актов
ОФИЦИАЛЬНОЕ ОПУБЛИКОВАНИЕ
Приказ Министерства строительства Новосибирской области от 07.06.2024 № 102-НПА
"О внесении изменения в приказ министерства строительства Новосибирской области от 30.03.2020 № 189"
(Зарегистрирован 07.06.2024 № 102-НПА)
Номер опубликования: 5401202406100007
Дата опубликования: 10.06.2024
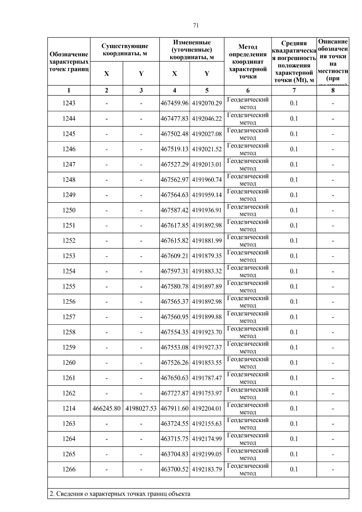
Страница №91 из 93:
Увеличить