Официальное опубликование правовых актов
ОФИЦИАЛЬНОЕ ОПУБЛИКОВАНИЕ
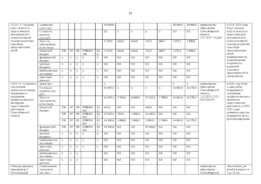
Приказ Министерства образования Новосибирской области от 29.03.2022 № 589
"О внесении изменений в приказ министерства образования Новосибирской области от 09.06.2021 № 1432"
Номер опубликования: 5401202203290003
Дата опубликования: 29.03.2022
Страница №14 из 93:
Увеличить