Официальное опубликование правовых актов
ОФИЦИАЛЬНОЕ ОПУБЛИКОВАНИЕ
Приказ Министерства строительства Новосибирской области от 27.12.2021 № 840
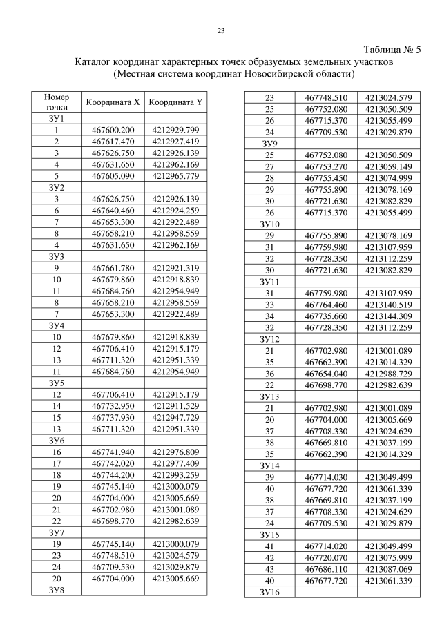
"Об утверждении проекта межевания территории жилой группы № 1 (ЖСК Сигма) в границах поселка Каинская Заимка Барышевского сельсовета Новосибирского района Новосибирской области"
Номер опубликования: 5401202112270010
Дата опубликования: 27.12.2021
Страница №27 из 38:
Увеличить