Официальное опубликование правовых актов
ОФИЦИАЛЬНОЕ ОПУБЛИКОВАНИЕ
Приказ Министерства строительства Новосибирской области от 27.12.2021 № 839
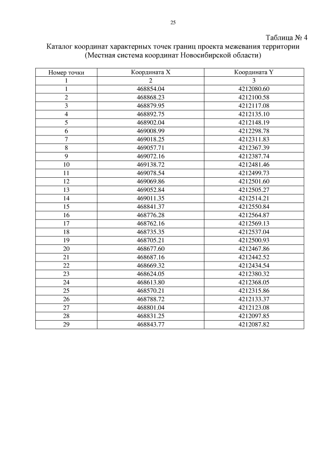
"Об утверждении проекта межевания территории жилой группы № 4 (ЖСК Сигма) в границах поселка Каинская Заимка Барышевского сельсовета Новосибирского района Новосибирской области"
Номер опубликования: 5401202112270009
Дата опубликования: 27.12.2021
Страница №29 из 41:
Увеличить