Официальное опубликование правовых актов
ОФИЦИАЛЬНОЕ ОПУБЛИКОВАНИЕ
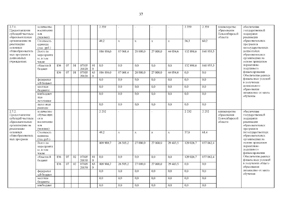
Приказ Министерства образования Новосибирской области от 17.11.2021 № 2594
"О внесении изменений в приказ министерства образования Новосибирской области от 09.06.2021 № 1432"
Номер опубликования: 5401202111180002
Дата опубликования: 18.11.2021
Страница №37 из 103:
Увеличить