Официальное опубликование правовых актов
ОФИЦИАЛЬНОЕ ОПУБЛИКОВАНИЕ
Приказ Министерства строительства Новосибирской области от 27.07.2021 № 509
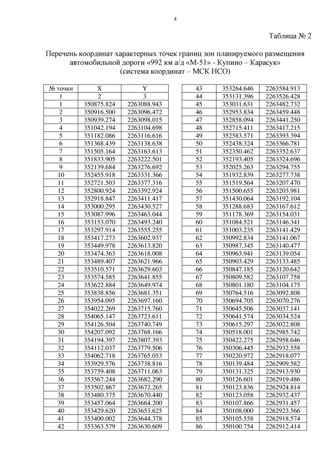
"Об утверждении проекта планировки территории и проекта межевания территории в его составе для реконструкции автомобильной дороги "992 км а/д "М-51" - Купино – Карасук" на участке км 231+760 – км 237+108 в границах Благодатского сельсовета Карасукского района Новосибирской области"
Номер опубликования: 5401202107280007
Дата опубликования: 28.07.2021
Страница №12 из 34:
Увеличить