Официальное опубликование правовых актов
ОФИЦИАЛЬНОЕ ОПУБЛИКОВАНИЕ
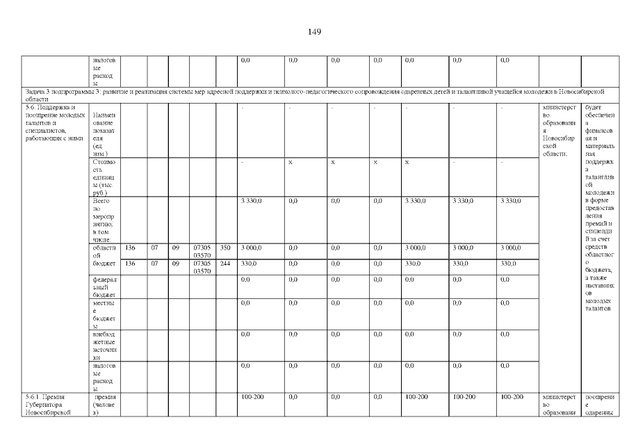
Приказ Министерства образования Новосибирской области от 09.06.2021 № 1432
"Об утверждении плана реализации мероприятий государственной программы Новосибирской области "Развитие образования, создание условий для социализации детей и учащейся молодежи в Новосибирской области" на очередной 2021 год и плановый период 2022 и 2023 годов"
Номер опубликования: 5401202106090004
Дата опубликования: 09.06.2021
Страница №149 из 179:
Увеличить