Официальное опубликование правовых актов
ОФИЦИАЛЬНОЕ ОПУБЛИКОВАНИЕ
Приказ Министерства жилищно-коммунального хозяйства и энергетики Новосибирской области от 29.04.2020 № 68
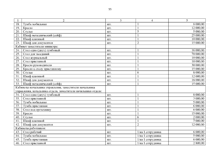
"О нормативных затратах на обеспечение функций министерства жилищно-коммунального хозяйства и энергетики Новосибирской области и подведомственных ему государственного казенного учреждения Новосибирской области "Центр гражданской обороны, чрезвычайных ситуаций и пожарной безопасности Новосибирской области" и государственного казенного учреждения Новосибирской области "Проектная дирекция министерства жилищно-коммунального хозяйства и энергетики Новосибирской области"
Номер опубликования: 5401202004300008
Дата опубликования: 30.04.2020
Страница №57 из 66:
Увеличить