Официальное опубликование правовых актов
ОФИЦИАЛЬНОЕ ОПУБЛИКОВАНИЕ
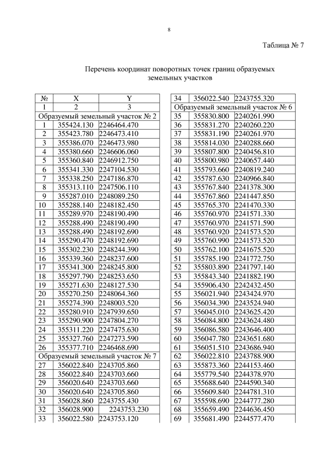
Приказ Министерства строительства Новосибирской области от 23.01.2020 № 24
"Об утверждении проекта планировки территории и проекта межевания территории в его составе для реконструкции автомобильной дороги межмуниципального значения "Мироновка – Петрушино" на участке км 3+000 – км 13+052 в Баганском районе Новосибирской области в границах Мироновского сельсовета Баганского района Новосибирской области"
Номер опубликования: 5401202001230003
Дата опубликования: 23.01.2020
Страница №47 из 51:
Увеличить