Официальное опубликование правовых актов
ОФИЦИАЛЬНОЕ ОПУБЛИКОВАНИЕ
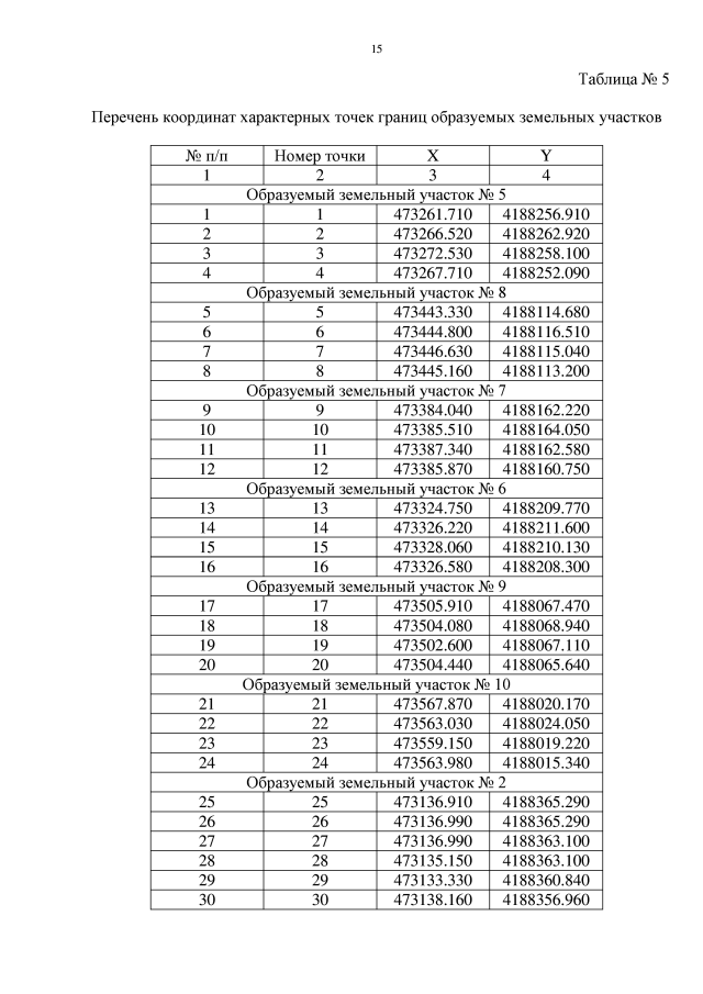
Приказ Министерства строительства Новосибирской области от 06.11.2019 № 616
"Об утверждении проекта планировки территории для размещения объекта комплексной реконструкции линии электропередач 35 кВ: "ВЛ 35 кВ 35337, 35338 ПС Толмачево – ПС Верх-Тула" в границах Верх-Тулинского сельсовета Новосибирского района Новосибирской области и проекта межевания территории в его составе"
Номер опубликования: 5401201911060004
Дата опубликования: 06.11.2019
Страница №17 из 18:
Увеличить