Официальное опубликование правовых актов
ОФИЦИАЛЬНОЕ ОПУБЛИКОВАНИЕ
Приказ Министерства экономического развития Новосибирской области от 12.04.2019 № 48
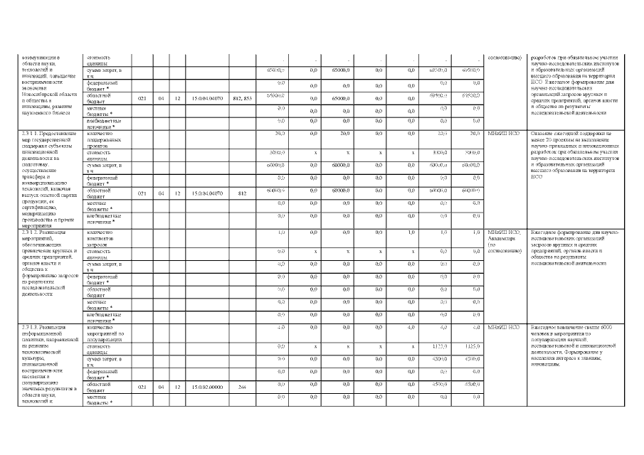
"Об утверждении плана реализации мероприятий государственной программы Новосибирской области "Стимулирование инвестиционной и инновационной активности в Новосибирской области", утвержденной постановлением Правительства Новосибирской области от 01.04.2015 № 126-п, на 2019 год и плановый период 2020 и 2021 годов"
Номер опубликования: 5401201904180003
Дата опубликования: 18.04.2019
Страница №56 из 61:
Увеличить