Официальное опубликование правовых актов
ОФИЦИАЛЬНОЕ ОПУБЛИКОВАНИЕ
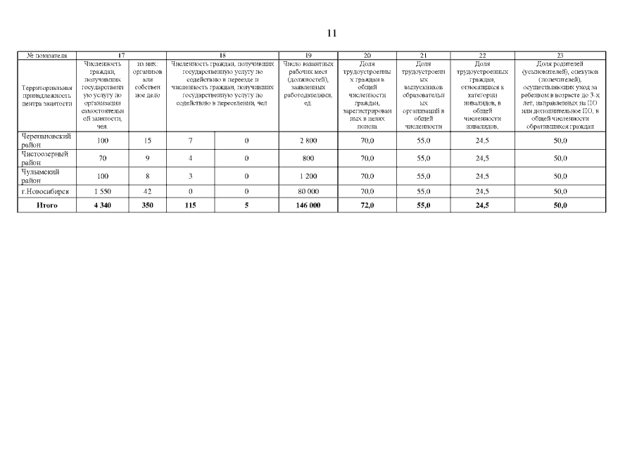
Приказ Министерства труда и социального развития Новосибирской области от 28.12.2018 № 1460
"Об утверждении государственным казенным учреждениям Новосибирской области центрам занятости населения целевых показателей в сфере содействия занятости населения на 2019 год и плановый период 2020 и 2021 годов"
Номер опубликования: 5401201812290003
Дата опубликования: 29.12.2018
Страница №11 из 11:
Увеличить