Официальное опубликование правовых актов
ОФИЦИАЛЬНОЕ ОПУБЛИКОВАНИЕ
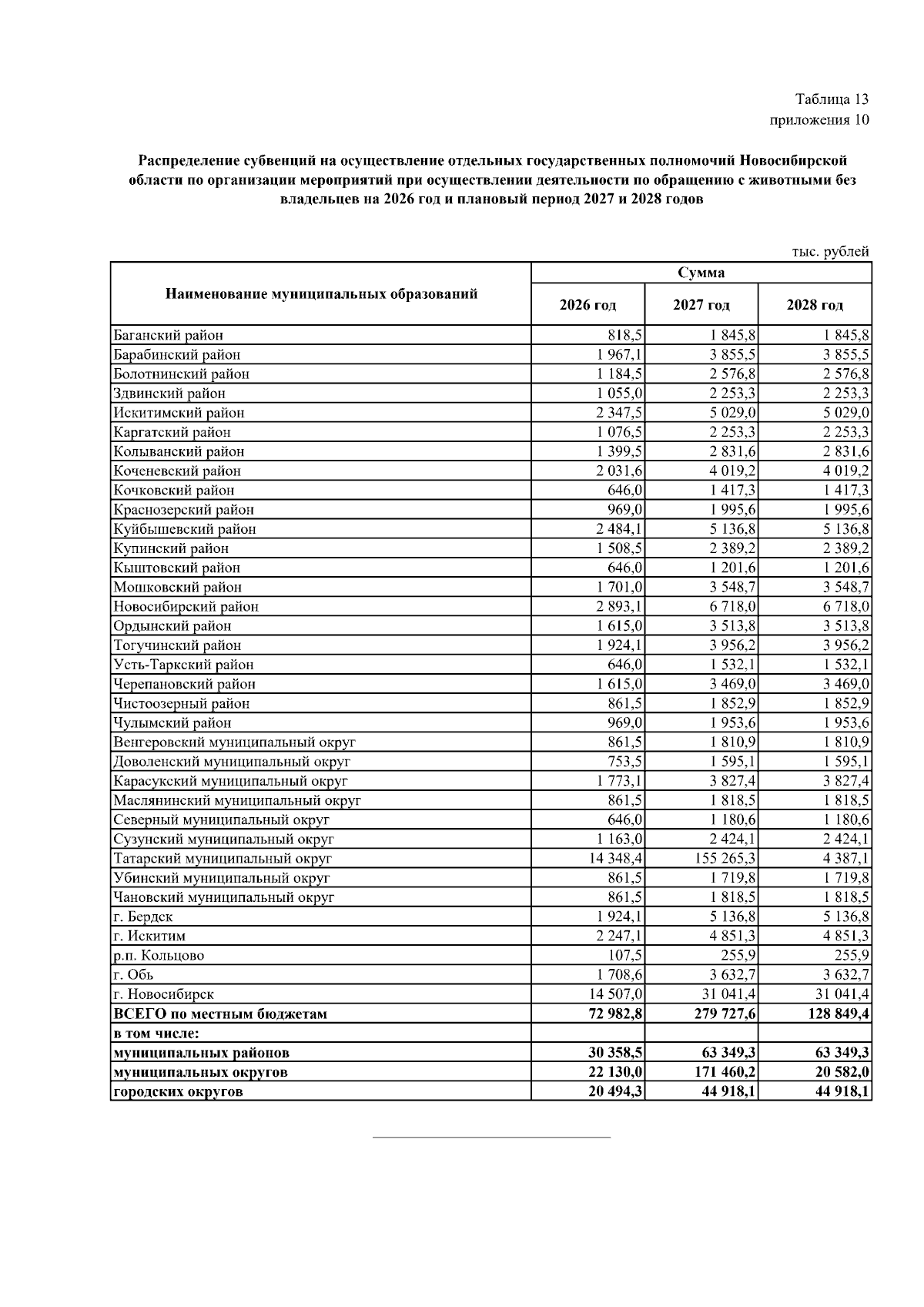
Закон Новосибирской области от 19.12.2025 № 37-ОЗ
"Об областном бюджете Новосибирской области на 2026 год и плановый период 2027 и 2028 годов"
Номер опубликования: 5400202512220001
Дата опубликования: 22.12.2025
Страница №490 из 588:
Увеличить