Официальное опубликование правовых актов
ОФИЦИАЛЬНОЕ ОПУБЛИКОВАНИЕ
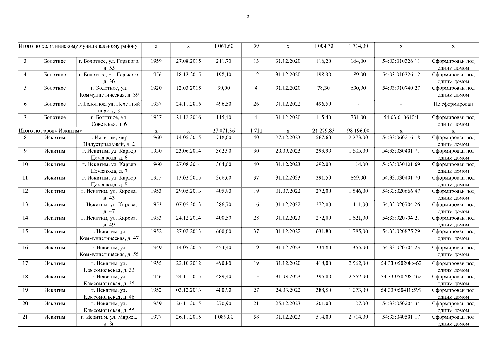
Постановление Правительства Новосибирской области от 21.10.2025 № 484-п
"О внесении изменений в постановление Правительства Новосибирской области от 01.04.2019 № 122-п"
Номер опубликования: 5400202510230003
Дата опубликования: 23.10.2025
Страница №4 из 25: