Официальное опубликование правовых актов
ОФИЦИАЛЬНОЕ ОПУБЛИКОВАНИЕ
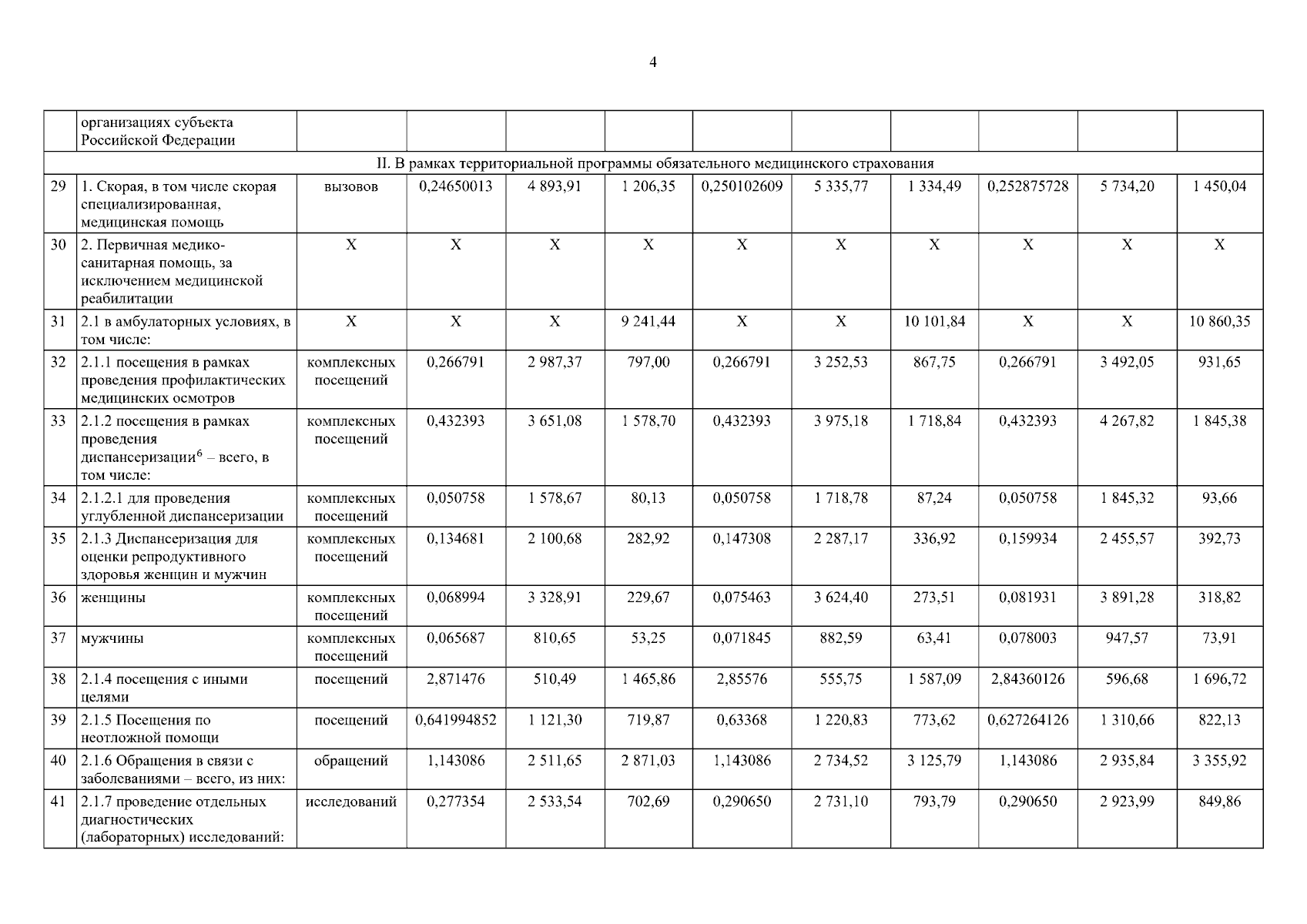
Постановление Правительства Новосибирской области от 28.12.2024 № 631-п
"О Территориальной программе государственных гарантий бесплатного оказания гражданам медицинской помощи в Новосибирской области на 2025 год и на плановый период 2026 и 2027 годов"
Номер опубликования: 5400202412290013
Дата опубликования: 29.12.2024
Страница №443 из 462:
Увеличить