Официальное опубликование правовых актов
ОФИЦИАЛЬНОЕ ОПУБЛИКОВАНИЕ
Постановление Правительства Новосибирской области от 28.12.2024 № 631-п
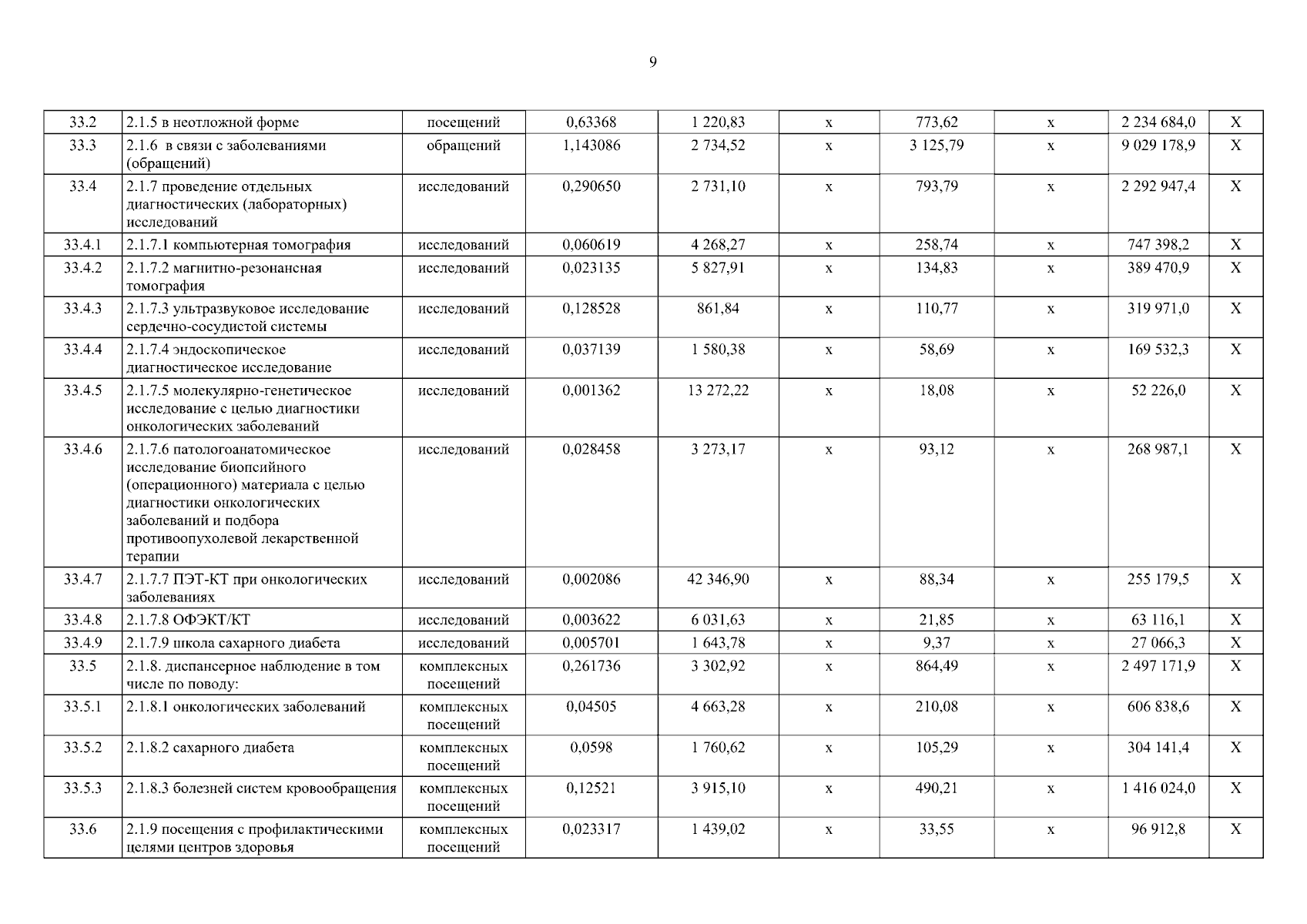
"О Территориальной программе государственных гарантий бесплатного оказания гражданам медицинской помощи в Новосибирской области на 2025 год и на плановый период 2026 и 2027 годов"
Номер опубликования: 5400202412290013
Дата опубликования: 29.12.2024
Страница №199 из 462:
Увеличить