Постановление Правительства Новосибирской области от 10.12.2024 № 570-п
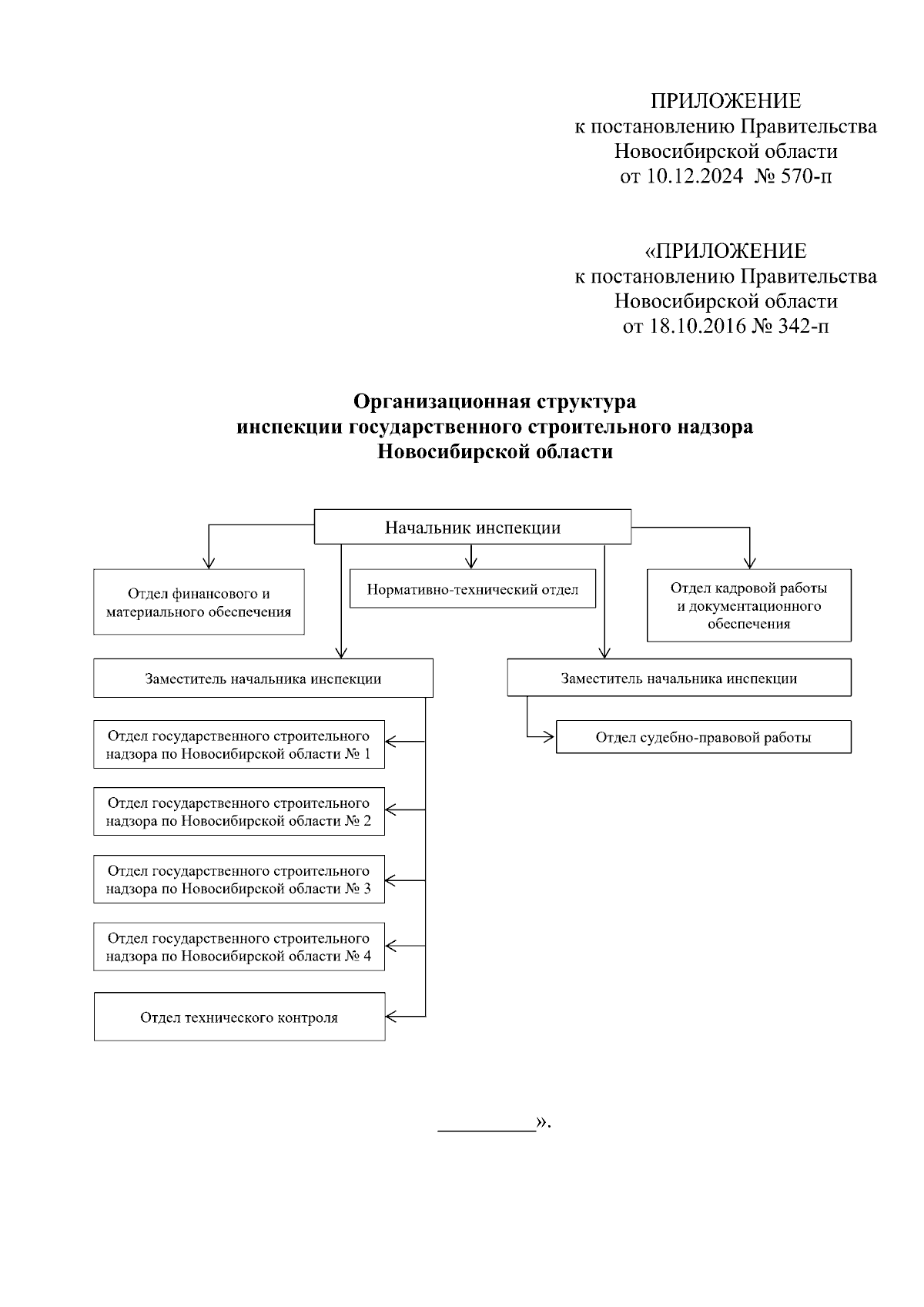
"О внесении изменения в постановление Правительства Новосибирской области от 18.10.2016 № 342-п"
"О внесении изменения в постановление Правительства Новосибирской области от 18.10.2016 № 342-п"
Номер опубликования: 5400202412120003
Дата опубликования:
12.12.2024
