Официальное опубликование правовых актов
ОФИЦИАЛЬНОЕ ОПУБЛИКОВАНИЕ
Закон Новосибирской области от 28.11.2024 № 510-ОЗ
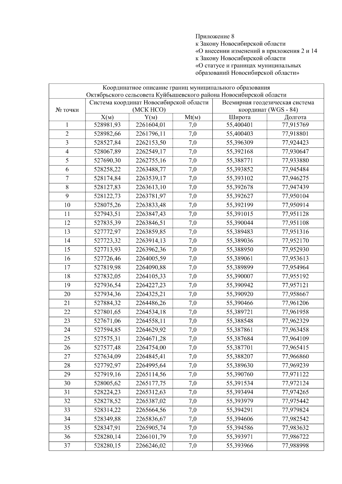
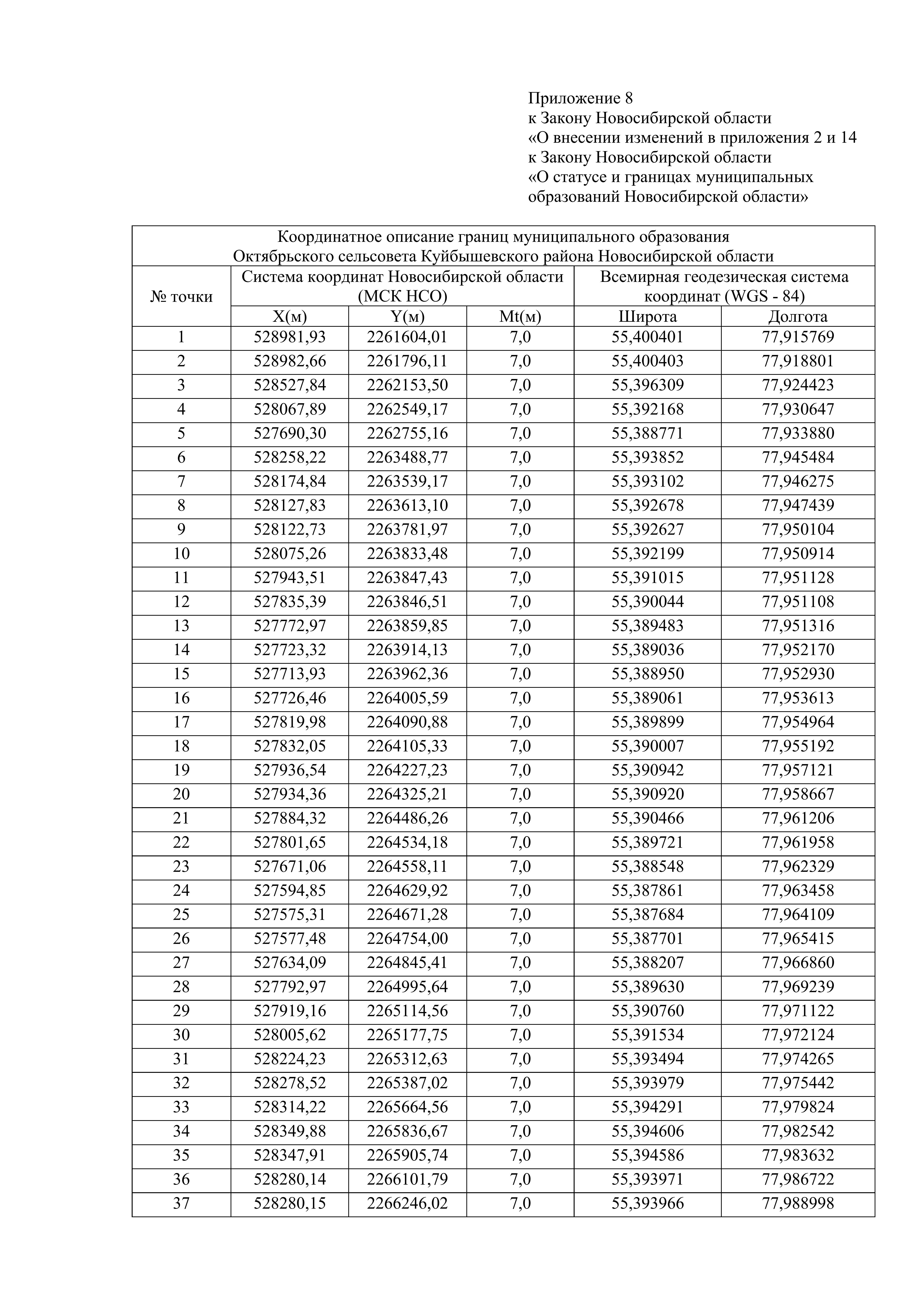
"О внесении изменений в приложения 2 и 14 к Закону Новосибирской области "О статусе и границах муниципальных образований Новосибирской области"
Номер опубликования: 5400202411280028
Дата опубликования: 28.11.2024
Страница №79 из 103: