Официальное опубликование правовых актов
ОФИЦИАЛЬНОЕ ОПУБЛИКОВАНИЕ
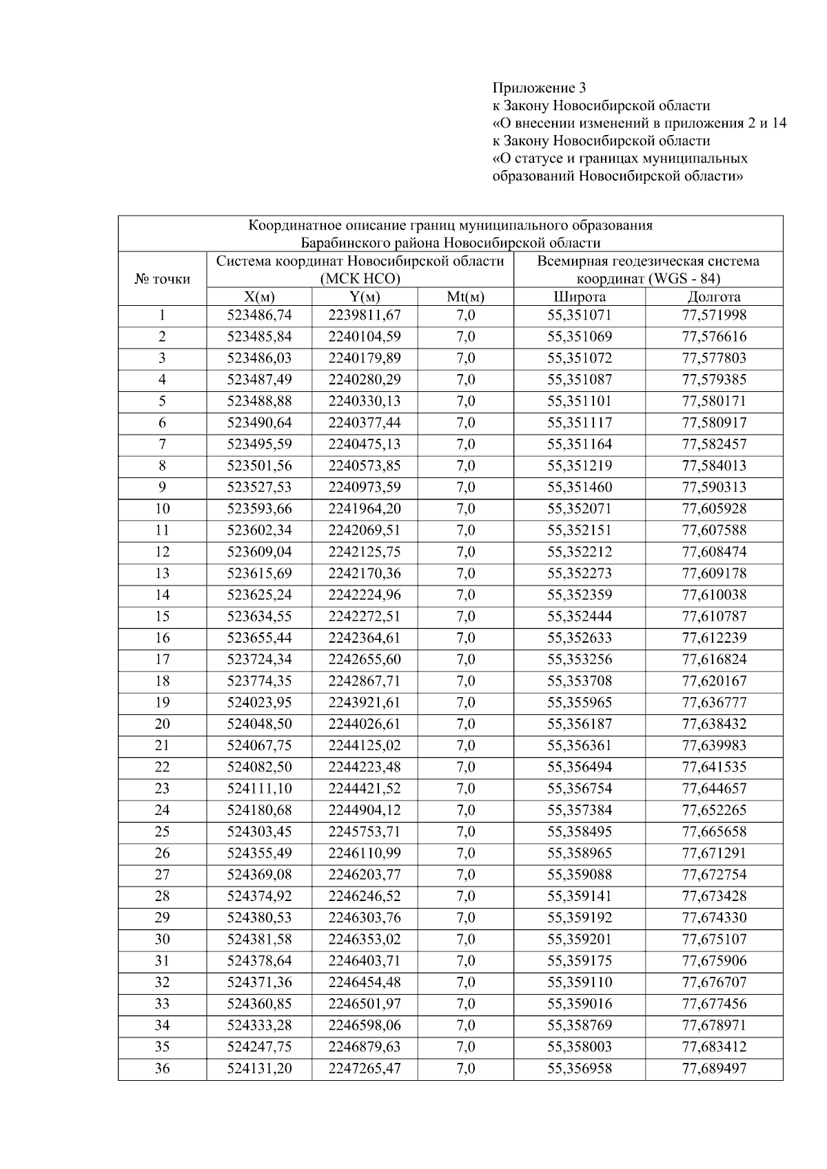
Закон Новосибирской области от 28.11.2024 № 510-ОЗ
"О внесении изменений в приложения 2 и 14 к Закону Новосибирской области "О статусе и границах муниципальных образований Новосибирской области"
Номер опубликования: 5400202411280028
Дата опубликования: 28.11.2024
Страница №6 из 103: