Официальное опубликование правовых актов
ОФИЦИАЛЬНОЕ ОПУБЛИКОВАНИЕ
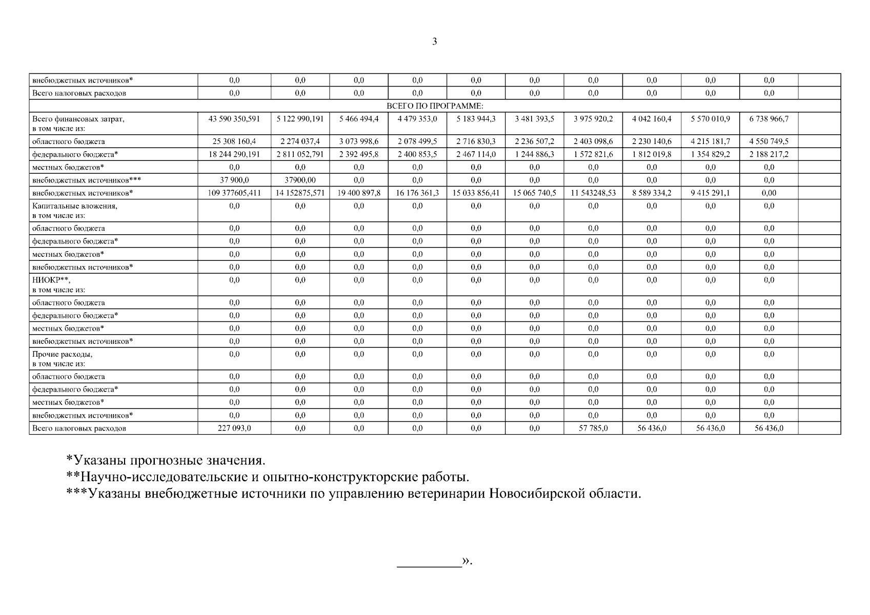
Постановление Правительства Новосибирской области от 27.03.2024 № 142-п
"О внесении изменений в постановление Правительства Новосибирской области от 02.02.2015 № 37-п"
Номер опубликования: 5400202403290008
Дата опубликования: 29.03.2024
Страница №52 из 52:
Увеличить