Официальное опубликование правовых актов
ОФИЦИАЛЬНОЕ ОПУБЛИКОВАНИЕ
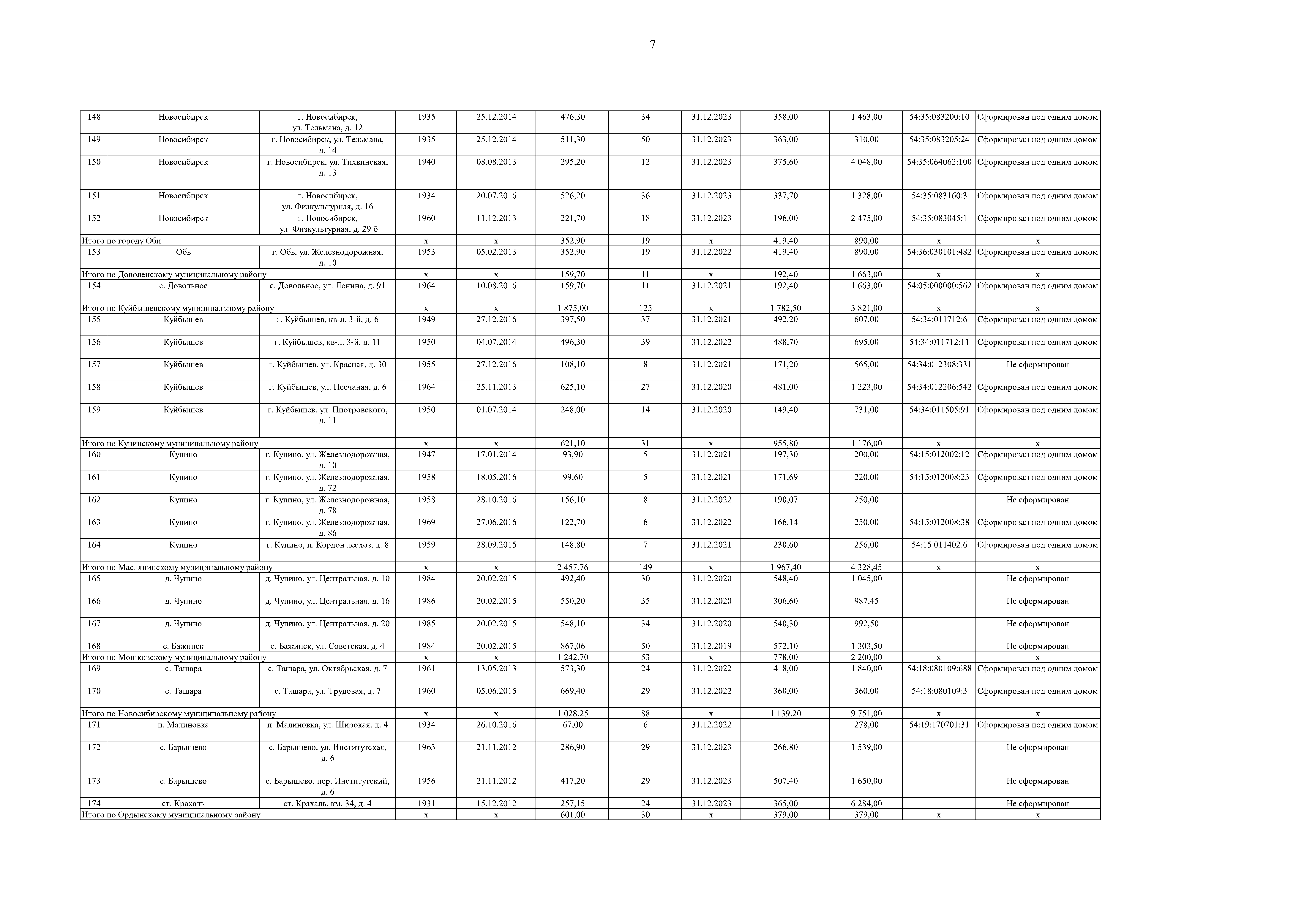
Постановление Правительства Новосибирской области от 13.09.2023 № 435-п
"О внесении изменений в постановление Правительства Новосибирской области от 01.04.2019 № 122-п"
Номер опубликования: 5400202309150013
Дата опубликования: 15.09.2023
Страница №9 из 22: