Официальное опубликование правовых актов
ОФИЦИАЛЬНОЕ ОПУБЛИКОВАНИЕ
Постановление Правительства Новосибирской области от 11.07.2023 № 299-п
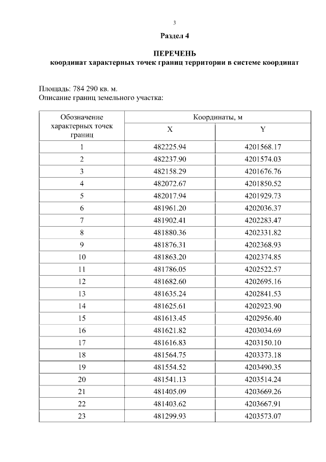
"О комплексном развитии незастроенной территории по Бердскому шоссе (устье реки Ини) в Октябрьском и Первомайском районах города Новосибирска Новосибирской области"
Номер опубликования: 5400202307120004
Дата опубликования: 12.07.2023
Страница №5 из 23:
Увеличить