Официальное опубликование правовых актов
ОФИЦИАЛЬНОЕ ОПУБЛИКОВАНИЕ
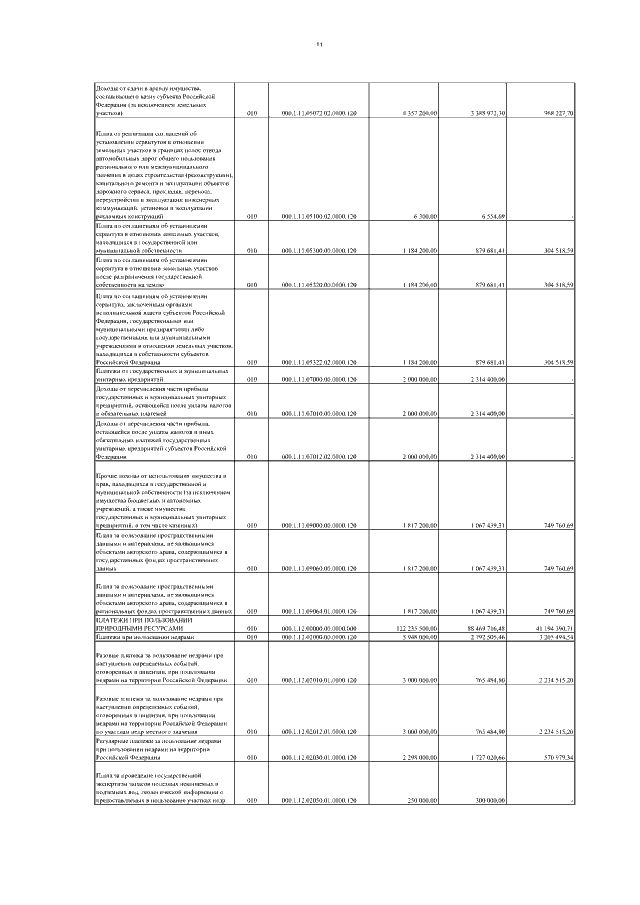
Постановление Правительства Новосибирской области от 10.11.2022 № 530-п
"Об утверждении отчета об исполнении областного бюджета Новосибирской области за девять месяцев 2022 года"
Номер опубликования: 5400202211100003
Дата опубликования: 10.11.2022
Страница №12 из 168:
Увеличить