Официальное опубликование правовых актов
ОФИЦИАЛЬНОЕ ОПУБЛИКОВАНИЕ
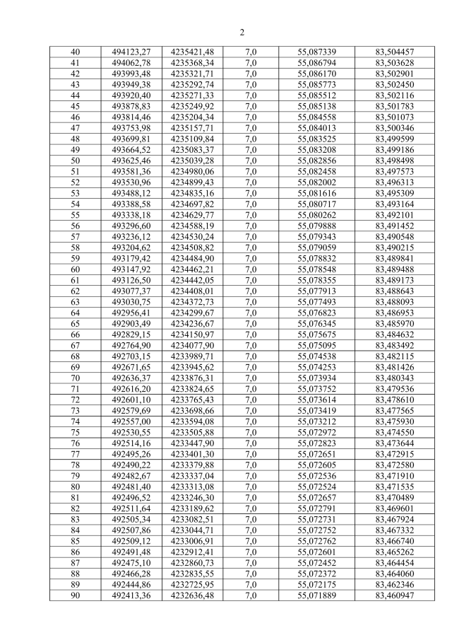
Закон Новосибирской области от 10.02.2022 № 176-ОЗ
"О внесении изменений в приложения 19 и 35 к Закону Новосибирской области "О статусе и границах муниципальных образований Новосибирской области"
Номер опубликования: 5400202202100007
Дата опубликования: 10.02.2022
Страница №7 из 235:
Увеличить