Официальное опубликование правовых актов
ОФИЦИАЛЬНОЕ ОПУБЛИКОВАНИЕ
Постановление Правительства Новосибирской области от 30.12.2020 № 562-п
"О внесении изменений в постановление Правительства Новосибирской области от 01.04.2019 № 122-п"
Номер опубликования: 5400202012310010
Дата опубликования: 31.12.2020
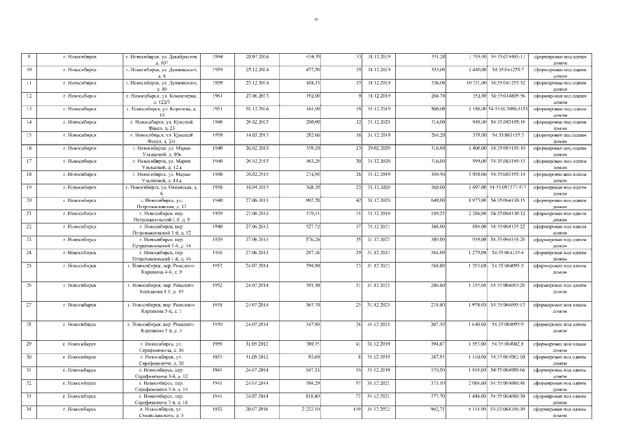
Страница №13 из 25:
Увеличить