Официальное опубликование правовых актов
ОФИЦИАЛЬНОЕ ОПУБЛИКОВАНИЕ
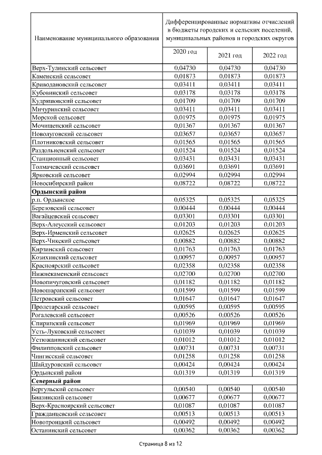
Закон Новосибирской области от 25.12.2019 № 454-ОЗ
"Об областном бюджете Новосибирской области на 2020 год и плановый период 2021 и 2022 годов"
Номер опубликования: 5400201912250001
Дата опубликования: 25.12.2019
Страница №127 из 600:
Увеличить