Официальное опубликование правовых актов
ОФИЦИАЛЬНОЕ ОПУБЛИКОВАНИЕ
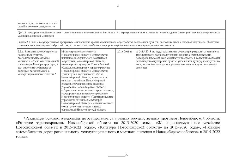
Постановление Правительства Новосибирской области от 16.04.2019 № 153-п
"О внесении изменений в постановление Правительства Новосибирской области от 26.02.2015 № 69-п"
Номер опубликования: 5400201904180019
Дата опубликования: 18.04.2019
Страница №16 из 24:
Увеличить