Официальное опубликование правовых актов
ОФИЦИАЛЬНОЕ ОПУБЛИКОВАНИЕ
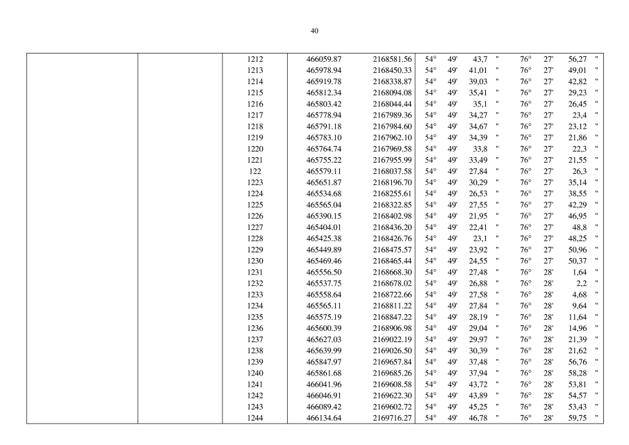
Постановление Правительства Новосибирской области от 19.11.2018 № 486-п
"Об утверждении границ особо охраняемой природной территории регионального значения – государственного природного заказника "Юдинский" Новосибирской области"
Номер опубликования: 5400201811210004
Дата опубликования: 21.11.2018
Страница №41 из 51:
Увеличить