Официальное опубликование правовых актов
ОФИЦИАЛЬНОЕ ОПУБЛИКОВАНИЕ
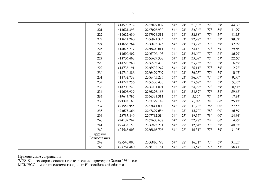
Постановление Правительства Новосибирской области от 25.09.2018 № 404-п
"О внесении изменений в постановление администрации Новосибирской области от 18.04.1995 № 139"
Номер опубликования: 5400201809270007
Дата опубликования: 27.09.2018
Страница №10 из 11:
Увеличить