Официальное опубликование правовых актов
ОФИЦИАЛЬНОЕ ОПУБЛИКОВАНИЕ
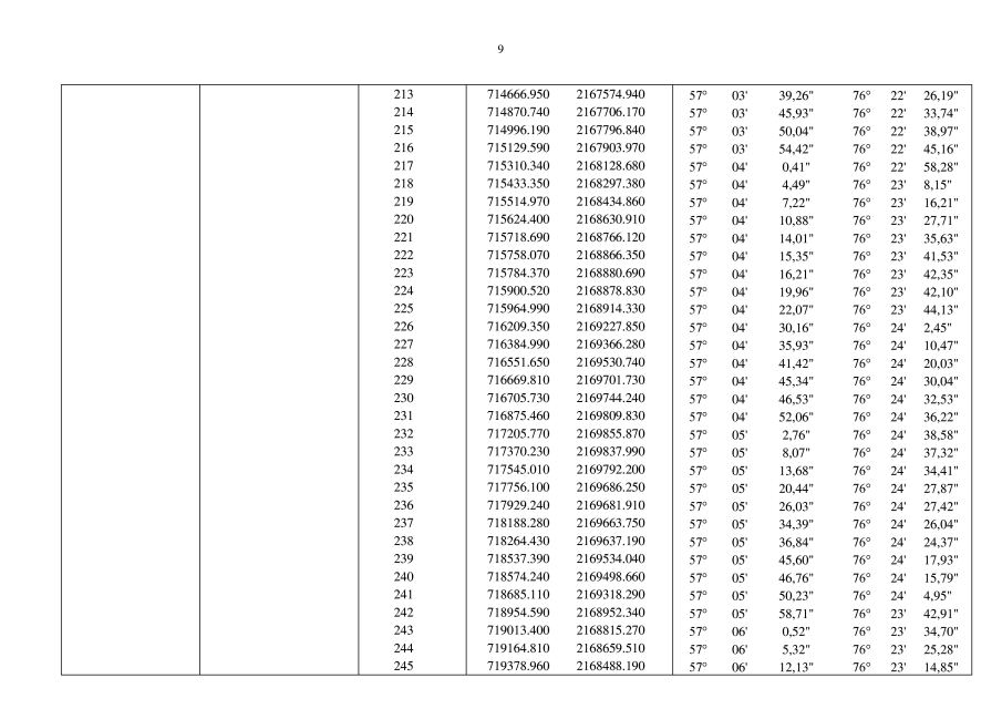
Постановление Правительства Новосибирской области от 13.09.2018 № 389-п
"Об утверждении границ особо охраняемой природной территории регионального значения – государственного природного заказника "Майзасский" Новосибирской области"
Номер опубликования: 5400201809140004
Дата опубликования: 14.09.2018
Страница №10 из 24:
Увеличить