Постановление Правительства Новосибирской области от 26.06.2018 № 277-п
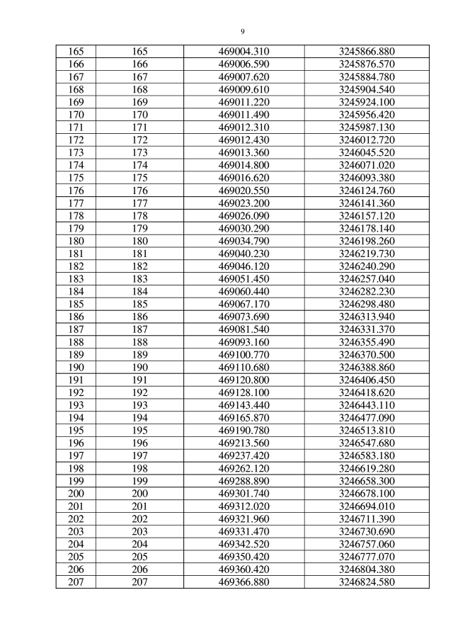
"Об утверждении проекта планировки территории для размещения объекта регионального значения автомобильной дороги межмуниципального значения "14 км а/д "Н-3203 – Сарыкамышка" на участке км 0+000 – км 3+000 в границах муниципального образования Серебрянский сельсовет Чулымского района Новосибирской области и проекта межевания территории в его составе"
"Об утверждении проекта планировки территории для размещения объекта регионального значения автомобильной дороги межмуниципального значения "14 км а/д "Н-3203 – Сарыкамышка" на участке км 0+000 – км 3+000 в границах муниципального образования Серебрянский сельсовет Чулымского района Новосибирской области и проекта межевания территории в его составе"
Номер опубликования: 5400201807020009
Дата опубликования:
02.07.2018
