Официальное опубликование правовых актов
ОФИЦИАЛЬНОЕ ОПУБЛИКОВАНИЕ
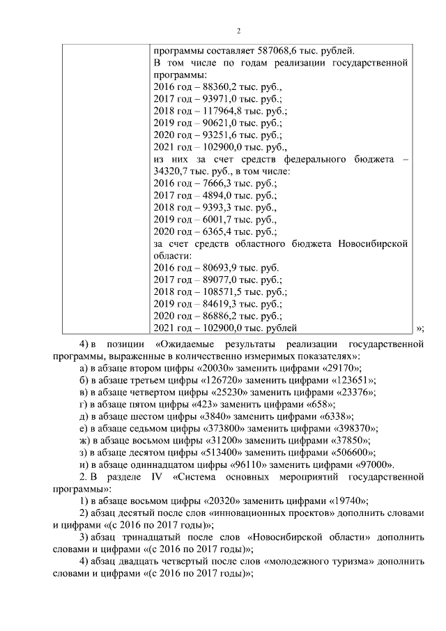
Постановление Правительства Новосибирской области от 21.03.2018 № 100-п
"О внесении изменений в постановление Правительства Новосибирской области от 13.07.2015 № 263-п"
Номер опубликования: 5400201803220006
Дата опубликования: 22.03.2018
Страница №2 из 7:
Увеличить