Официальное опубликование правовых актов
ОФИЦИАЛЬНОЕ ОПУБЛИКОВАНИЕ
Постановление Правительства Новосибирской области от 06.02.2018 № 39-п
"О внесении изменений в постановление Правительства Новосибирской области от 15.04.2013 № 160-п"
Номер опубликования: 5400201802080002
Дата опубликования: 08.02.2018
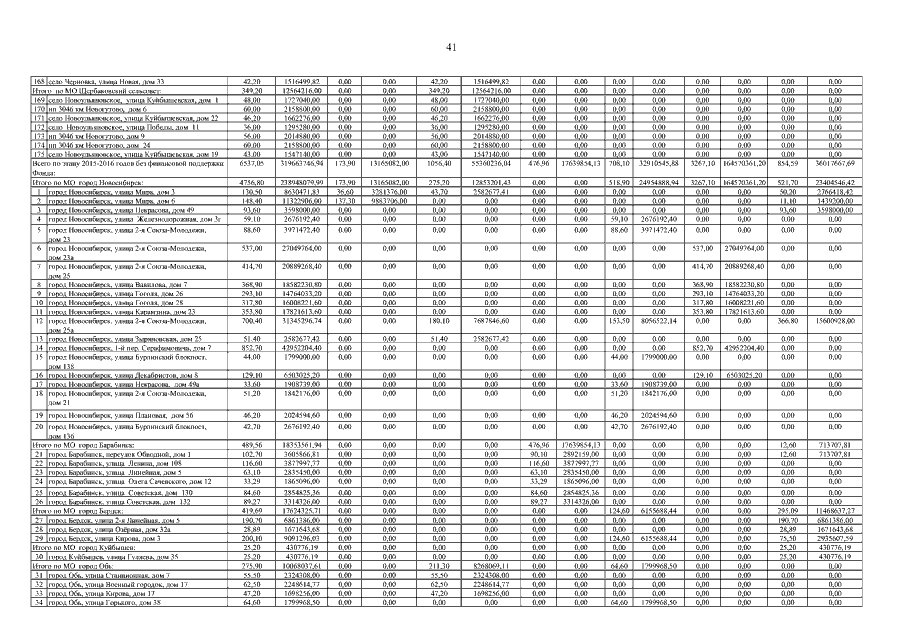
Страница №45 из 53:
Увеличить