Официальное опубликование правовых актов
ОФИЦИАЛЬНОЕ ОПУБЛИКОВАНИЕ
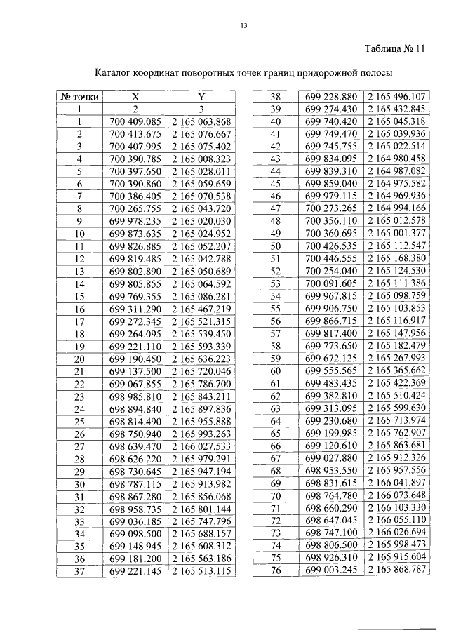
Постановление Правительства Новосибирской области от 11.07.2017 № 254-п
"Об утверждении проекта планировки территории для размещения объекта регионального значения автомобильной дороги межмуниципального значения "Кыштовка – Орловка" в границах муниципального образования Орловский сельсовет Кыштовского района Новосибирской области и проекта межевания территории в его составе"
Номер опубликования: 5400201707120003
Дата опубликования: 12.07.2017
Страница №42 из 44:
Увеличить