Официальное опубликование правовых актов
ОФИЦИАЛЬНОЕ ОПУБЛИКОВАНИЕ
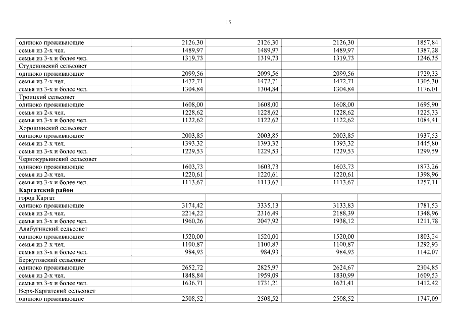
Постановление Губернатора Новосибирской области от 24.05.2017 № 105
"Об установлении региональных стандартов оплаты жилого помещения и коммунальных услуг в Новосибирской области на первое полугодие 2017 года"
Номер опубликования: 5400201705260008
Дата опубликования: 26.05.2017
Страница №17 из 58:
Увеличить