Официальное опубликование правовых актов
ОФИЦИАЛЬНОЕ ОПУБЛИКОВАНИЕ
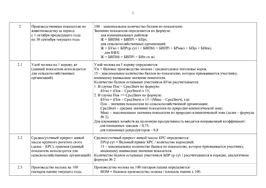
Постановление Правительства Новосибирской области от 26.04.2017 № 172-п
"Об организации трудового соревнования в агропромышленном комплексе Новосибирской области в 2017 году"
Номер опубликования: 5400201704280006
Дата опубликования: 28.04.2017
Страница №26 из 82:
Увеличить