Официальное опубликование правовых актов
ОФИЦИАЛЬНОЕ ОПУБЛИКОВАНИЕ
Постановление Правительства Новосибирской области от 18.04.2017 № 144-п
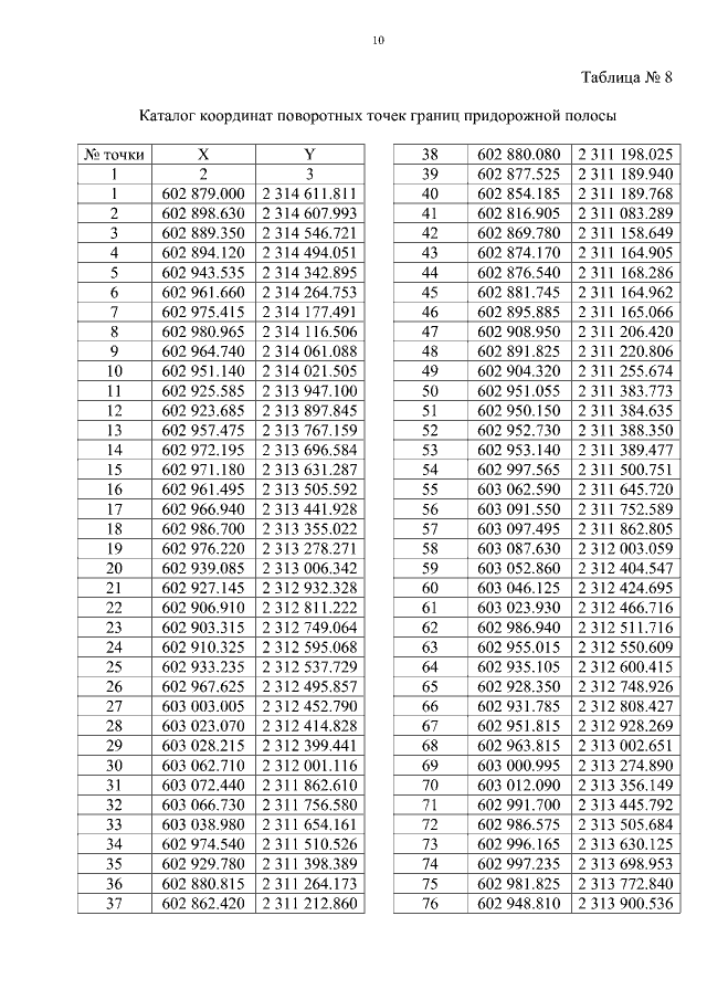
"Об утверждении проекта планировки территории для размещения объекта регионального значения автомобильной дороги межмуниципального значения "79 км а/д "К-04" – Федоровка" на участке км 17+900 – км 21+900 в границах муниципального образования Федоровский сельсовет Северного района Новосибирской области и проекта межевания территории в его составе"
Номер опубликования: 5400201704190012
Дата опубликования: 19.04.2017
Страница №36 из 38:
Увеличить