Официальное опубликование правовых актов
ОФИЦИАЛЬНОЕ ОПУБЛИКОВАНИЕ
Постановление Правительства Новосибирской области от 18.04.2017 № 145-п
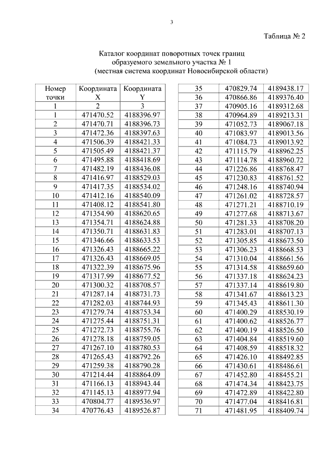
"Об утверждении проекта планировки территории для размещения объекта регионального значения автомобильной дороги межмуниципального значения "1 км а/д "Н-2123" – Верх-Тула – Ленинское – ОбьГЭС" на участке км 0+000 – км 9+100 в границах муниципальных образований Верх-Тулинский сельсовет и Морской сельсовет Новосибирского района Новосибирской области и проекта межевания территории в его составе"
Номер опубликования: 5400201704190010
Дата опубликования: 19.04.2017
Страница №40 из 53:
Увеличить