Официальное опубликование правовых актов
ОФИЦИАЛЬНОЕ ОПУБЛИКОВАНИЕ
Постановление Правительства Новосибирской области от 18.04.2017 № 146-п
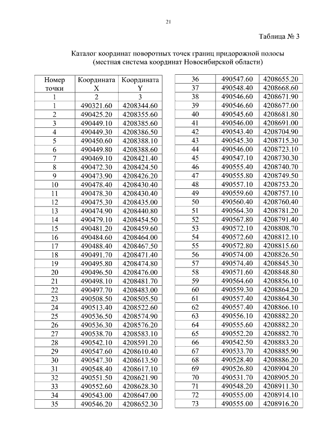
"Об утверждении проекта планировки территории для размещения объекта регионального значения автомобильной дороги регионального значения "Новосибирск – Ленинск-Кузнецкий" на участке км 12 – км 24 в границах муниципального образования Раздольненский сельсовет Новосибирского района Новосибирской области и проекта межевания территории в его составе"
Номер опубликования: 5400201704190007
Дата опубликования: 19.04.2017
Страница №47 из 53:
Увеличить