Официальное опубликование правовых актов
ОФИЦИАЛЬНОЕ ОПУБЛИКОВАНИЕ
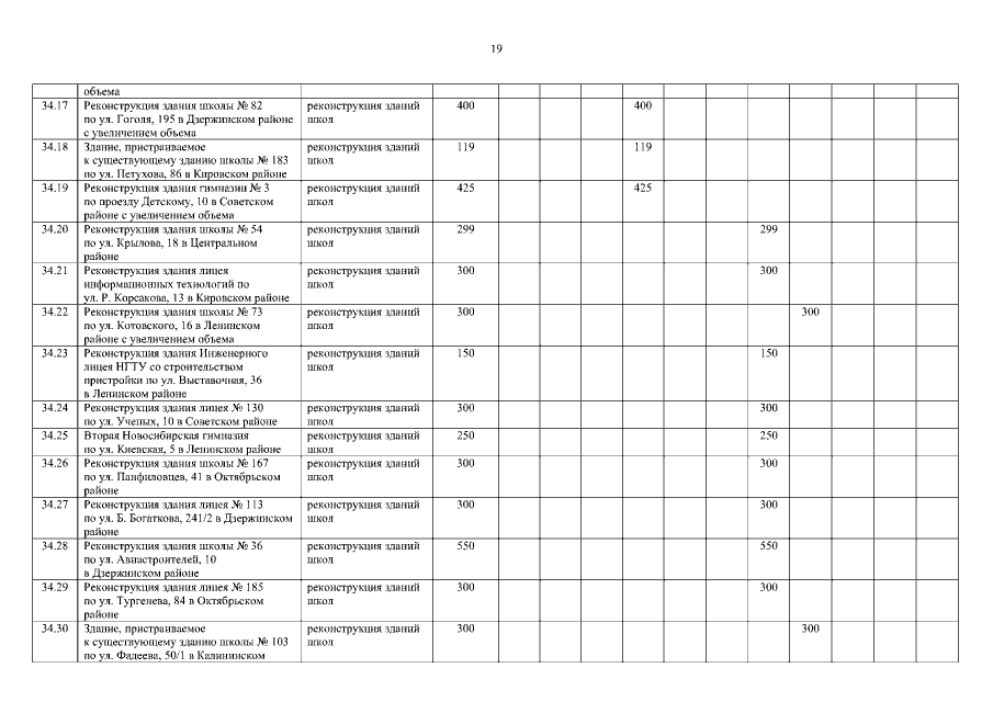
Постановление Правительства Новосибирской области от 30.12.2015 № 478-п
"О программе, направленной на создание новых мест в общеобразовательных организациях в соответствии с прогнозируемой потребностью и современными условиями обучения на территории Новосибирской области, на 2016-2025 годы"
Номер опубликования: 5400201601040009
Дата опубликования: 04.01.2016
Страница №28 из 35:
Увеличить