Официальное опубликование правовых актов
ОФИЦИАЛЬНОЕ ОПУБЛИКОВАНИЕ
Постановление Правительства Новосибирской области от 14.12.2015 № 440-п
"О внесении изменений в постановление Правительства Новосибирской области от 04.03.2015 № 70-п"
Номер опубликования: 5400201512170022
Дата опубликования: 17.12.2015
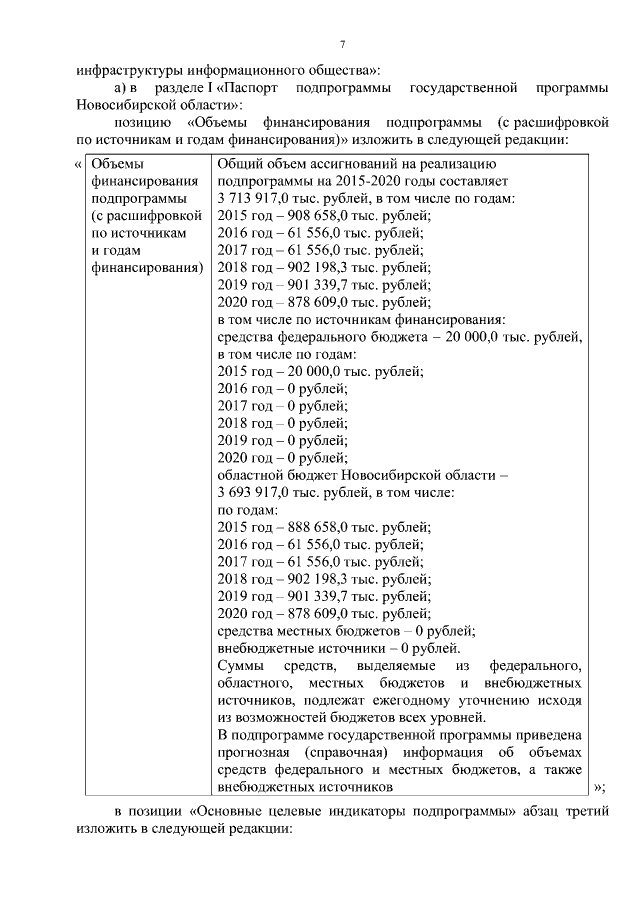
Страница №7 из 24:
Увеличить