Официальное опубликование правовых актов
ОФИЦИАЛЬНОЕ ОПУБЛИКОВАНИЕ
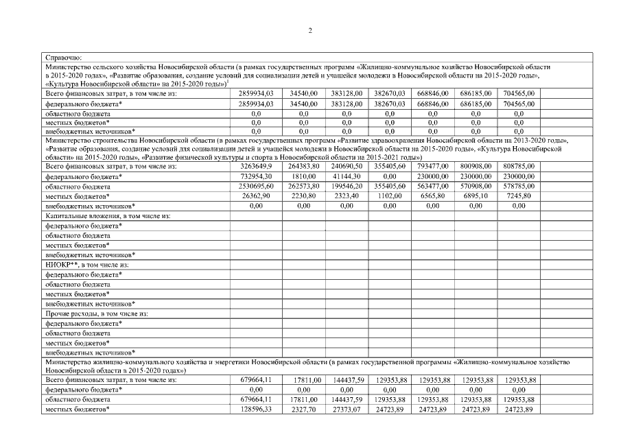
Постановление Правительства Новосибирской области от 14.12.2015 № 445-п
"О внесении изменений в постановление Правительства Новосибирской области от 26.02.2015 № 69-п"
Номер опубликования: 5400201512170011
Дата опубликования: 17.12.2015
Страница №20 из 21:
Увеличить