Официальное опубликование правовых актов
ОФИЦИАЛЬНОЕ ОПУБЛИКОВАНИЕ
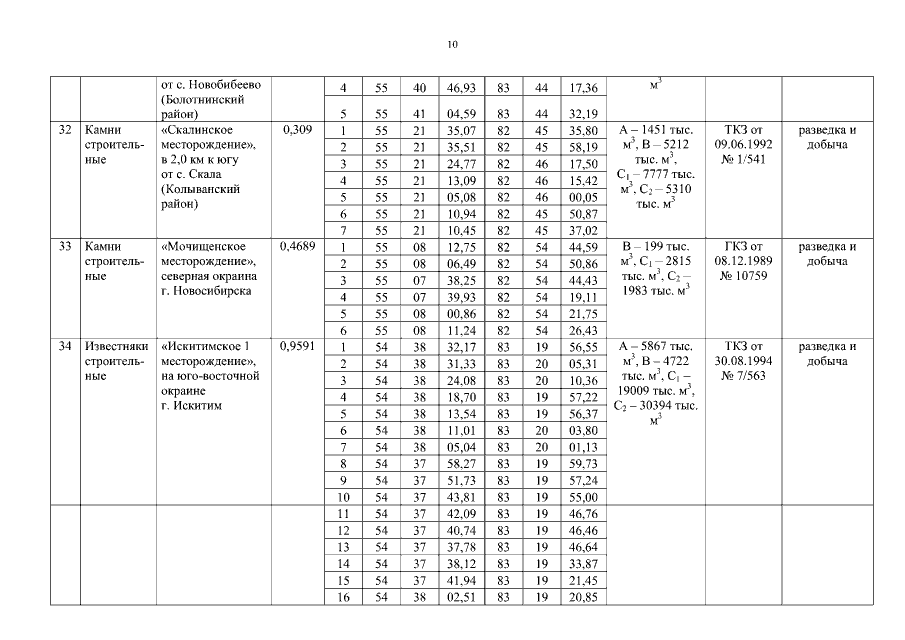
Постановление Правительства Новосибирской области от 30.06.2015 № 244-п
"Об утверждении перечня участков недр местного значения, содержащих общераспространенные полезные ископаемые, на территории Новосибирской области"
Номер опубликования: 5400201507020002
Дата опубликования: 02.07.2015
Страница №11 из 17:
Увеличить